考研数学常用三角函数公式汇总
2018/5/30 13:35:32
来源: 本站
对于考研数学的复习,公式的运用是重大的一部分。海天考研小编为大家分享关于常用三角函数公式,希望同学们能够灵活运用。

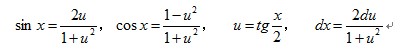
一些初等函数:

两个重要极限:

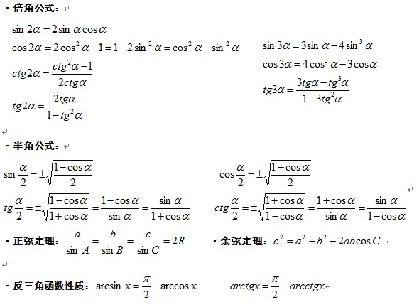
和差角公式:

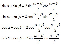
和差化积公式:



上一篇:7大考研数学难点整理
下一篇:考研数一数二数三备考重点汇总
热门推荐



